ВК РНПЦ «Дарын» доводит до вашего сведения о том, что департамент дошкольного и среднего образования МОН РК совместно с Общественным объединением «ЭкоОбраз» в 2013-2014 году проводит Национальный этап Международного конкурса школьных проектов по энергоэффективности «Энергия и среда обитания». Данный конкурс проводится в рамках всемирной декады ООН «Образование для устойчивого развития» при поддержке Норвежского общества охраны природы и INFORSEEurope (Европейская сеть развития устойчивой энергетики).
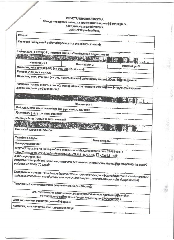
Направляем Вам материалы для подготовки к участию в Национальном этапе Международного конкурса школьных проектов по энергоэффективности (письмо №081 от 26.09.2013 года, Положение о конкурсе, регистрационная форма участника).
Срок предоставления работ на конкурс – до 20 декабря 2013 г. Работы и заполненные регистрационные формы в электронном виде принимаются на электронный адрес: vk_daryn@mail.ru с пометкой «Конкурс SPARE».
Приложение: 5 листов.




